



- Product
- GBTS Panels
- Software System
- Reagents
- Instruments
- Media
- …
- Product
- GBTS Panels
- Software System
- Reagents
- Instruments
- Media



- Product
- GBTS Panels
- Software System
- Reagents
- Instruments
- Media
- …
- Product
- GBTS Panels
- Software System
- Reagents
- Instruments
- Media

Yellow Croaker
(Larimichthys crocea)
Yellow Croaker (Larimichthys crocea) is a highly prized marine fish species in aquaculture. As global demand for sustainable and high-quality fish products increases, integrating genomic selection into traditional breeding programs for yellow croaker can substantially enhance breeding efficiency, particularly for traits such as growth rate, disease resistance, and environmental adaptability. At Molbreeding, we have developed a range of ready-to-use yellow croaker panels with varying marker densities. These panels are specifically designed to support genome selection, enabling breeders to improve disease resistance, enhance growth performance, and ensure genetic diversity within breeding populations.
In addition to our pre-desinged panels, we offer bespoke services tailored to your specific research or breeding objectives. By providing your unique Marker List, we can swiftly design cost-effective GBTS panels that align with your specific needs, whether for high-density genome-wide association studies or targeted selection of key traits. Our innovative large yellow croaer panels are designed to support your pursuit of excellence in fish variety development, helping you achieve significant improvements in breeding efficiency, quality control, and sustainability.
Genotyping by Targeted Sequencing (GBTS) Panels - Ready to use*

*Reference Genome: Larimichthys_crocea_v2.0
Note: All our ready-to-use GBTS panels can be customized with additional markers for specific traits or loci. To include your loci of interest, please contact us.
- Application
For Discovery Service
Genetic diversity analysis
Genetic map construction, Gene/QTL mapping
GWAS analysis, Functional gene mapping and cloning
For Breeding Service
Variety identification
Germplasm resource evaluation and protection
Molecular marker-assisted selection
Genome-wide selection breeding
- Report Visualization

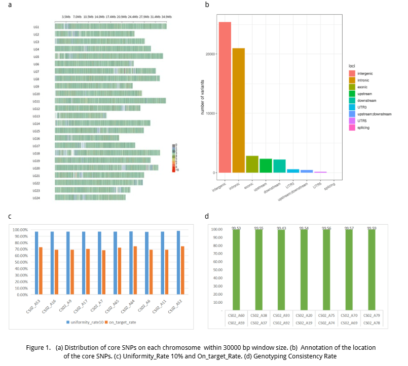
GenoBaits® Large Yellow Croaker NXS 55K Panel
This panel includes 50,000+ core SNP sites and 200,000+ mSNP sites, significantly enhancing the detection efficiency of variations within the target region. All markers are evenly distributed across the chromosomes, making it ideal for breeders and geneticists focused on improving overall health, performance, and phenotypic diversity.
- Average Uniformity Rate 10(%): 97.2%
- Genotyping Consistency Rate: >99.4%
- Published Literatures
- Wang J, Miao L, Chen B, et al. Development and evaluation of liquid SNP array for large yellow croaker (Larimichthys crocea). Aquaculture. 2023;563(2):739021. https://doi.org/10.1016/j.aquaculture.2022.739021
Documents
- If you require marker list or any additional information, please contact us.
Sample preparation and shipping guideline



